2026年欧几里得数学竞赛报名开启!不要错过报名时间!附上海犀牛欧几里得培训课程
发布于:2026-02-03 18:54 阅读次数:次
国际生2026年开启竞赛新赛季,目标是北美各大热门理工院校的同学,千万别错过4月欧几里得数学竞赛!2026年欧几里得竞赛如何报名、报名截止时间是何时、备考资料该怎么选?今天橙子老师一次性为大家解答所有问题!文末附上海犀牛欧几里得数学竞赛专属培训课,线上线下灵活安排,好课速抢!
欧几里得数学竞赛通过以下两种方法报名:
通过学校统一报名:一般学校是欧几里得线下考点学校,统一由学校注册报名,学生无法自行报名。具体可以联系老学校师。加拿大学校学生可以直接通过学校报名。
通过机构代报名:如果学校不是欧几里得数学竞赛考点学校,学生可以通过代报名机构报名。犀牛有欧几里得竞赛代报名资格,详细报名流程可以点击右下角咨询。
欧几里得报名官网:
https://cemc.uwaterloo.ca/contests/euclid
二、欧几里得数学竞赛规则
欧几里得数学竞赛时间:
北美和南美地区:2026年3月31日
其他地区:2026年4月1日
欧几里得报名截止时间:2026年3月5日
欧几里得数学竞赛形式:线下统一考试
欧几里得数学竞赛语言:全英文考试
欧几里得数学竞赛分值:满分100分,共10道大题,每道大题2-3小题
三、欧几里得备赛规划
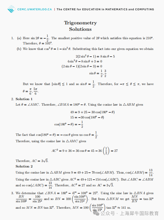
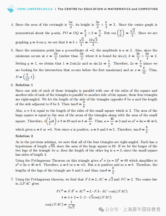
欧几里得数学4月开考,大家提前2-3周开始做欧几里得数学竞赛真题,对于知识点掌握还不熟练的同学,橙子老师给大家准备了一份欧几里得数学知识点,分为6个单元,每个单元说明所用到的公式和练习题,像指数对数、三角函数、方程和多项式涵盖齐全,的确是备考的重要复习资料。





不建议大家刷题太过频繁,一周1-2套就行,掌握知识和刷题技巧才是刷题的意义。
上海犀牛欧几里得培训课程
斯坦福北大名师齐坐镇
结合竞赛重难点,带学生全方位提升


开设班型
3-6人班,1v1
课程模式
线上/线下同步开课,课程可回放,反复学习
授课语言
面向国际/国内学生,中英双语授课/纯英文授课均可~
线下校区
上海浦东、徐汇、黄浦、闵行










